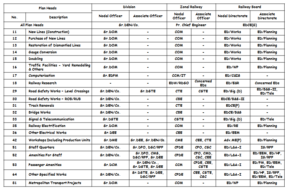
Plan Heads & Co-ordinators